长安车友会

 找回密码
 欢迎注册

QQ登录

只需一步,快速开始

查看: 53566|回复: 327

我另外开一帖关于“涡轮增压器”相关知识--欢迎大家补充

  [复制链接]
发表于 2011-2-9 00:01:29 | 显示全部楼层 |阅读模式
为了增加大家的积极性,我还是把帖子设置为回复才能查看,有时写的很累人的,希望大家多回帖支持

我另外开一帖关于“涡轮增压器”相关知识--我慢慢写上来-欢迎大家补充【申精帖】

讲讲增压器的大概原理:

废气涡轮增压器主要由泵轮和涡轮组成,当然还有其他一些控制元件。泵轮和涡轮由一根轴相连,也就是转子,发动机排出的废气驱动泵轮,泵轮带动涡轮旋转,涡轮转动后给进气系统增压。增压器安装在发动机的排气一侧,所以增压器的工作温度很高,而且增压器在工作时转子的转速非常高,可达到每分钟几万转,如此高的转速和温度迫使增压器放弃使用普通轴承,而采用全浮动轴承,还有冷却液为增压器进行冷却。以前,涡轮增压器大都用在柴油发动机上,现在一些汽油发动机也采用涡轮增压器。因为汽油和柴油的燃烧方式不一样,因此发动机采用涡轮增压器的形式也有所区别.


一、讲讲为什么要增压:
1、在发动机工作容积不变的情况下气缸里面能良好燃烧的燃油越多那么其动力就越大,不过自然吸气的的发动机由于受到混合比和空气进入量的限制,虽然通过各种途径可以适当提升功率,但潜力仍然不大。
2、如果通过提升每分钟的转速来提升功率,那么发动机吸气的效率反而会随活塞的快速运动而下降,而且随着活塞的平均运动速度和最大燃烧压力的增高,发动机,的有效背压也会升高,机械效率反而下降,发动机功率的提升和发挥也就被限制了。
3、反过来如果增加发动机循环进入气缸的空气量,以及相应的增加喷油量就可以大幅度的提升机器的功率了,这样的话我们就只有采用增压器了!
二、增压器的类型
1、废气涡轮增压器(常见常用-由于技术的进步现在的涡轮滞后已经基本可以解决掉)
2、气波增压器(较为少用比较笨重-利用压缩波和膨胀波传递能量的能量交换器)
3、机械增压器:(由皮带与发动机曲轴相连接,从发动机输出轴获得动力来驱动增压器)
4、复合增压系统:(即废气涡轮增压和机械增压并用)

废气增压器的结构图:(红色-废气---中间浮轴---蓝色-空气)


110207.jpg
有效控制及提高增压器效率的几个部分:
1、中冷器
温度增高,不仅影响充气效率,还容易产生爆燃。因此要装置降低进气温度的设备,这就是中间冷却器。它安装在涡轮增压器出口与进气管之间,对进入气缸的空气进行冷却。中间冷却器就象散热器,用风冷却或者水冷却,空气的热量通过冷却而逸散到大气中去。性能良好的中间冷却器不但可以使发动机压缩比能保持一定值而不会产生爆燃,同时降低温度也可提高进气压力,进一步提高发动机的有效功率。
2、叶轮
由于汽油发动机转速范围宽,空气流量变化大,因此涡轮增压器的压缩叶轮外形是复杂的三元曲面超薄壁叶轮片,一般有1230片叶,呈放射线状曲线排列,叶片厚度在0.5毫米以下,采用铝材用特殊铸造法制作。叶片形状直接影响到到涡轮增压发动机的性能。叶轮形状角度越合理,质量越轻,叶轮的启动就越灵敏,涡轮增压器的天生缺陷反应滞后也就越小。

注:叶轮Surge 效应
为了防止“SURGE”现象,把叶片角度设计成向运转方向缩小(与涡轮轴线方向更接近),以维持流速均一化的“反向”压缩轮渐渐成为改装品的主流,而这也就是改装界所谓的“斜流”片。
3、爆燃传感器
除了降低温度来减少爆燃的可能外,还要采用爆燃传感器,它的作用就是在产生爆燃之时,传感器感到不正常的振动会立即将信息反馈至发动机ECU(电子控制单元)控制系统,将点火定时稍推迟一点,不产生爆燃的时候再恢复正常点火定时。



20110208.gif
大家正在看
 楼主| 发表于 2011-2-9 00:02:23 | 显示全部楼层
关于涡轮压力:
涡轮压力是指引擎在涡轮开启以后,进气管路内的压力(单只涡轮到燃烧室这一段)在同等的排气流量下涡轮的A\R值越高,则可以获得越大的增压压力。
用“Bar”作为单位。
按照我自己学习理解涡轮增压器用压力分类的话可以分为
1、低压增压器0.3-0.8Bar(普通民用中小排量的车)
2、中压增压器0.9-1.4Bar(中高级车或中大排量的车)
3、高压增压器1.5-2.5Bar(绝对是为赛场而生的)
关于"Bar"的换算:
1bar=14.5psi欧美等国家习惯使用psi作单位
1psi=6.895kPa=0.06895bar  

那么:
因为
1巴(bar)=0.1兆帕(MPa)=100千帕(KPa)=1.0197 公斤/平方厘米
1标准大气压(ATM)=0.101325兆帕(MPa)=1.0333巴(bar)
所以,你可以这样记住或换算:
1巴(bar)=1标准大气压(ATM)=1公斤/平方厘米 =100千帕(KPa)=0.1兆帕(MPa)


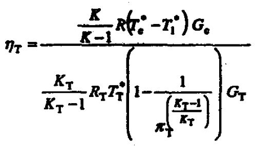
涡轮效率计算:
涡轮轮轴输出功可由高速测功器直接测得,也可用涡轮带动的同轴压气机测定。如以压气机作为测功器时
.则涡轮效率为:

gosi.jpg

公式里面的

R一一空气气体常数,R=287Ukg.K:

Rt一一燃气气体常数,当祸轮工质主要为姗气时,R7-287.4J/kg·K;
                                   当涡轮工质为空气时.RT-R=287J/kg·K:
K-一一空气绝热指数,K=1.4;
Kt一一燃气绝热指数,当涡轮工质主要为嫌气时,K7-134;
                                  当涡轮工质为空气时.K,=K=1.4;
Gc— 压气机实测流量,单位为kg/s;
Gt--涡轮实测流量,单位为kg/s
 楼主| 发表于 2011-2-9 00:03:08 | 显示全部楼层
一、现在来讲讲改装或增压的前提条件
由以上的原理和知识我们可以看到整个增压系统在汽车里面和电控系统以及发动机的自身因素密不可分!要有效的提升功率下面的前提条件是必须满足的。
1、机器的缸压必须满足起码的10,也就讲原来压缩比高的发动机更具有改装潜力,在同一增压器同一排量同一电喷系统的发动机下低压缩比的发动机增压后效率比高压缩比的发动机低效10%-50%
2、电喷系统的可提升潜力同时也决定着发动机的改装潜力,电喷系统控制着整个发动机,混合比,喷油量,爆震控制,氧含量,点火角,增压气体压力,泄压压力,增压器机油压力等等,超过了电喷系统的极限改转也徒劳(又或者说系统不具备改转的潜力了)。
3、必须保证涡轮气流通道的密闭性,这样空气的压力才能够通过密闭密封好的气道进入燃烧室,这样进气温度传感器和氧传感器空气流量传感器才可以准确计算喷油量而不会造成工作不稳定!

二、改装的误点
1、随便加进气口或间接的增加空滤之前的进气口(原来空气滤清器进气口前移不算在这误点中)
2、随便加电子风扇或其他无动力涡轮
3、没有控制器介入管理的所谓增压器

4、先天不能满足改装条件的发动机改装也徒劳及短寿












忙中可能有错,大家共同的探讨!我只能有空才来交功课的!
 楼主| 发表于 2011-2-9 00:03:49 | 显示全部楼层
功课只能每晚写点上来,要筹备出差了!
发表于 2011-2-9 07:35:35 | 显示全部楼层
废气涡轮增压器 小排量车增加动力的最好方法 不过废气增压的缺点也不少 高速后不能立即熄火 凉车启动后不能立即高转速工作 对油品品质要求较高 保养里程较自然吸气的短 发动机使用寿命短 故障点增多 机舱温度高 车辆后改装的话工程量巨大 电脑 进排气 凸轮轴 缸压 活塞 机体 曲轴都要强化 喷油嘴节气门都要更改 等等 不过带来良好的动力表现也是不能忽视的:lol :lol
发表于 2011-2-9 10:06:12 | 显示全部楼层
很专业   很强大
发表于 2011-2-9 10:33:47 | 显示全部楼层
路过顶贴!学习:0049:
发表于 2011-2-9 11:10:20 | 显示全部楼层
你说的太专业。我来补充两句。。楼主没有意见吧。。你说的浮动轴承太专业。。好多人听不懂。其实就是我们说的铜套(和启动机上的不一样,肯定是特殊工艺)你说的冷却液为增压器冷却。。我没有见过。。不过有增压器的汽车都有机油散热器。再就是中冷散热器我没有见过有水冷却的。基本都是风冷,水冷的基本都是自动变速箱散热器。。涡轮增压器都是流量型的。增也起后边还要加一个进气压力传感器。给电脑提供进气压力数据,我不赞成买涡轮增压器的汽车。后期维修就是个天文数字。纳帕萨特的来说,增压器价格在一万元左右。但是有钱人例外,这些纯属个人意见,有不对的地方,欢迎大家拍砖
发表于 2011-2-9 21:00:05 | 显示全部楼层
:good: :good: :good:
发表于 2011-2-9 21:08:56 | 显示全部楼层
:good:
您需要登录后才可以回帖 登录 | 欢迎注册

本版积分规则

小黑屋|手机版|Archiver|长安车友会 ( 渝ICP备06005564号-1 ) |渝公网安备50010702501124号

GMT+8, 2025-11-4 00:46

Powered by Discuz! X3.4

Copyright © 2001-2023, Tencent Cloud.

快速回复 返回顶部 返回列表